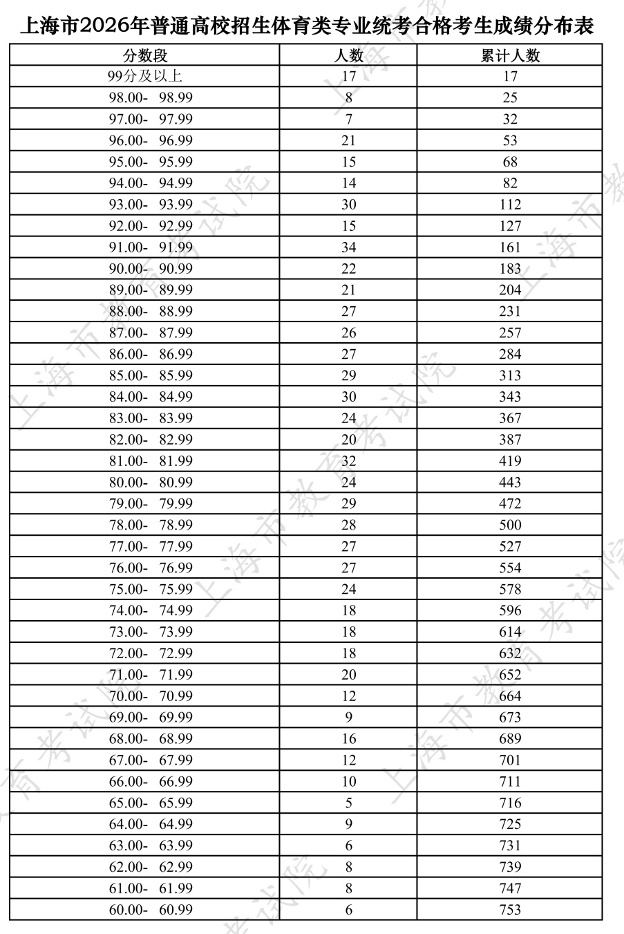
据市教育考试院介绍,上海市2026年普通高校招生体育类专业统考成绩及合格线于3月31日公布。 点击“划重点”极速浏览↓↓↓ 一 体育类专业统考合格线 根据《上海市教育考试院关于印发〈上海市2026年普通高校体育类专业考试招生实施办法〉的通知》(沪教考院高招〔2025〕40号)的有关规定,经审定,上海市2026年普通高校招生体育类专业统考可填报统考院校体育类专业(含认可本市统考成绩的外省市院校)志愿的合格线为:身体素质和专项技术合计总分不低于60分(满分为100分)。 二 成绩查询 3月31日(星期二)10:00起,考生可登录上海市教育考试院官网“上海招考热线”(www.shmeea.edu.cn),点击进入首页“成绩查询”,进行体育类专业统考成绩查询。 三 成绩复核 考生若对本人成绩有疑问,可于4月1日(星期三)9:00—20:00期间登录“上海招考热线”,凭考生高考报名号和身份证号码后六位数字(不含英文字母),点击进入首页“成绩查询”,提交成绩复核申请。成绩复核仅限复核是否存在漏评、加分错、登分错情况,不重新评分。考生不能查阅评分相关材料。 复核结果将于4月3日(星期五)10:00起提供查询。届时考生可再次登录“上海招考热线”,点击进入首页“成绩查询”,查看成绩复核结果。 点击“阅读原文”查看《上海市2026年普通高校招生体育类专业统考合格名单》
综合自:上海发布、市教育考试院
编辑:宁平英
转载请注明来自上海徐汇官方账号
