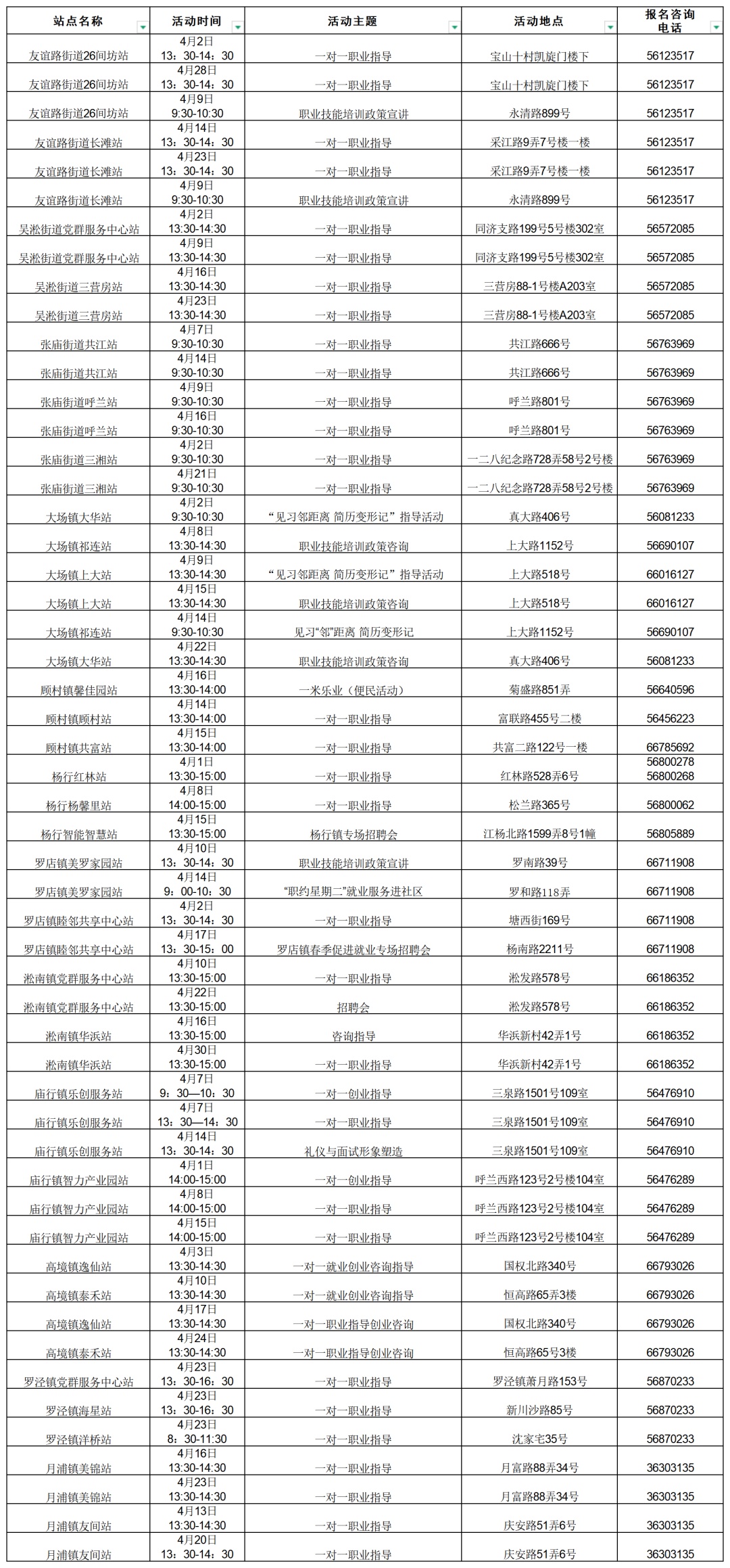
宝山区全力打造“15分钟就业服务圈”,扎实推进社区就业服务站点建设,切实打通就业公共服务“最后一公里”。目前,全区12个街镇均已设立标准化服务站点,为居民提供便捷高效的“一站式”就业公共服务。以下是各站点活动安排表,欢迎广大居民积极参与⬇宝山区“15分钟就业服务圈”活动排片表(点击查看大图)*具体活动安排以实际举办为准
宝山区全力打造“15分钟就业服务圈”,扎实推进社区就业服务站点建设,切实打通就业公共服务“最后一公里”。目前,全区12个街镇均已设立标准化服务站点,为居民提供便捷高效的“一站式”就业公共服务。以下是各站点活动安排表,欢迎广大居民积极参与⬇
宝山区“15分钟就业服务圈”
活动排片表
(点击查看大图)
*具体活动安排以实际举办为准
通讯员:张彦菁
编辑:陆天宇
资料:宝就业
*转载请注明来自上海宝山官方微信